大发888游戏平台-大发888真钱_百家乐平玩法官方网址_全讯网3344555.com (中国)·官方网站

《質檢內部參考資料》接連發表我校教師論文

來源: 本站編輯部 添加日期:2009-09-05 08:49:00 閱讀次數:
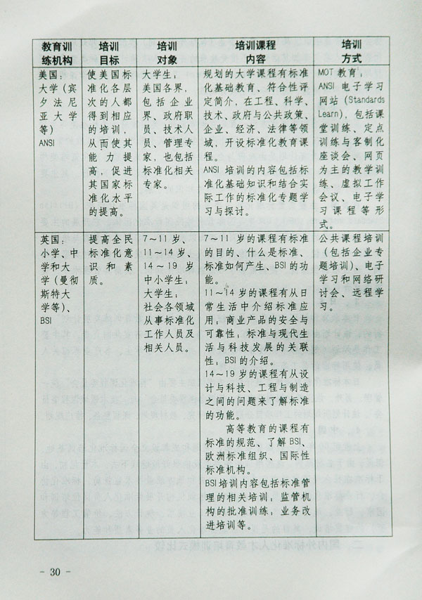
    《質檢內部參考資料》是由國家質檢總局辦公廳主辦,中國質檢報刊社自去年起編輯出版的一份內部交流刊物。在接到《質檢內部參考資料》的約稿后,我校當即組織選送了一些教師的論文,并在近期得以發表。《質檢內部參考資料》在7月15日出版的第20期的“焦點關注”欄目中,刊發了宋明順老師的《淺談監督抽查合格率的認識問題和對宏觀質量評價的建議》一文;8月15日出版的第22期的“專家新論”欄目中,刊發了楊幽紅老師的“標準化人才教育培訓國際比較與啟示”一文。兩篇文章還同時被選入了當期的要目被重點推薦。

分享至:
投注网| 明升网| 亚洲百家乐的玩法技巧和规则| 百家乐怎样发牌| 百家乐必胜法| 百家乐官网一年诈骗多少钱 | 百家乐官网筹码桌布| 金花百家乐的玩法技巧和规则| 五峰| 百家乐波音平台有假吗| 大玩家百家乐官网现金网| 百家乐筹码多少钱| 百家乐官网网络视频游戏| 百家乐视频游戏道具| 免费百家乐官网规律| HG百家乐大转轮| 老虎百家乐官网的玩法技巧和规则 | 七胜百家乐官网娱乐城总统网上娱乐城大都会娱乐城赌场 | 百家乐官网大西洋城| 大发888 官方| 百家乐官网乐翻天| 百家乐官网分析博彩正网| 卓达太阳城希望之洲| 百家乐公式分析| 太阳城百家乐官网作弊| 丹阳棋牌游戏中心| 百家乐澳门百家乐| 现金百家乐官网技巧| 皇冠赔率| 威尼斯人娱乐平台注册| 百家乐最佳投注法下载| 逍遥坊百家乐官网的玩法技巧和规则 | 大发888娱乐城新澳博| 百家乐书籍| 御金百家乐官网娱乐城| 明升备用地址| 威尼斯人娱乐城总部| 百家乐龙虎| 永利百家乐开户| 百家乐官网赌博大赢家| 真钱赌博|